介绍
适用于笛卡尔坐标系,就是普通的x轴、y轴上。
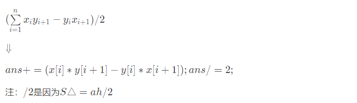
注意,多边形是以最后一个顶点到第一个顶点连接起来封闭的所以要有x[n]=x[0], y[n]=y[0]
而且最后有可能是负数,取个绝对值。
公式如下。

化简后

题目
题目描述
给出一个没有缺口的简单多边形,它的边是垂直或者水平的,要求计算多边形的面积。
多边形被放置在一个 $x-y$ 的笛卡尔平面上,它所有的边都平行于两条坐标轴之一。然后按逆时针方向给出各顶点的坐标值。所有的坐标值都是整数,因此多边形的面积也为整数。
输入格式
第一行给出多边形的顶点数 n 。
接下来 n 行,每行给出多边形一个顶点的坐标值 x 和 y,用空格隔开。
顶点按逆时针方向逐个给出。多边形最后是靠从最后一个顶点到第一个顶点画一条边来封闭的。
输出格式
一行,一个整数,表示多边形的面积。
样例 #1
样例输入 #1
10
0 0
4 0
4 1
3 1
3 3
2 3
2 2
1 2
1 3
0 3
样例输出 #1
9
提示
对于 $100\%$ 的数据,$1 \le n \le 100$,$-200 \le x,y \le 200$。
代码
void solve()
{
int n;
cin >> n;
for (int i = 0; i < n; i ++ )
{
cin >> x[i] >> y[i];
}
LL res = 0;
x[n] = x[0], y[n] = y[0];
for (int i = 0; i < n; i ++ )
{
res += x[i] * y[i + 1] - y[i] * x[i + 1];
}
cout << abs(res) / 2 << endl;
}
评论区