首页
Hello Halo
Halo
关于
微尘
行动起来,活在当下
累计撰写
132
篇文章
累计创建
1
个标签
累计收到
0
条评论
栏目
首页
Hello Halo
Halo
关于
目 录
CONTENT
首页
/
算法
/
正文
算法
斐波那契数列的通项公式
Administrator
2023-03-02
/
0 评论
/
0 点赞
/
10 阅读
/
0 字
01/06
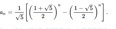
看见这个公式我们应该立刻想到这是斐波那契数列的通项公式,有的题目会变得非常简单了。
公式
详细的推导过程
0
版权归属:
Administrator
本文链接:
https://www.skybaiyun.com/archives/fei-bo-na-qi-shu-lie-de-tong-xiang-gong-shi
许可协议:
本文使用《
署名-非商业性使用-相同方式共享 4.0 国际 (CC BY-NC-SA 4.0)
》协议授权
微信扫一扫
上一篇
下一篇
评论区
评论区